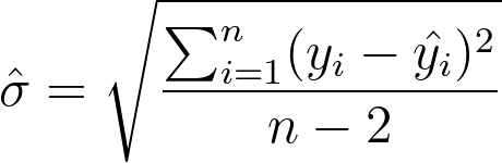
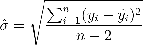
Standard error of estimate는 예측 모델의 값(보통 regression line)과 관측된 값이 평균적으로 얼마나 차이나는지를 나타내는 값이다. 보통 sigma로 표기하며 각 x값에 해당하는 관측값 yi와 regression line에서의 값 yhi의 차이를 제곱하여 더하고 자유도로 나눈 값의 square root로 정의된다.

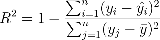
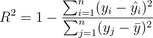
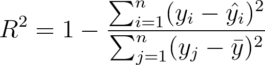
R-square는 gooness-of-fit의 measure로 사용된다. R-square는 관측된 값 yi와 관측된 값들의 평균값 yb과의 차이(total variance)에 비해, 예측된 모델(regression line)의 값과 관측값에 차이(variance explained by model)가 얼마나 나는지 말해주는 지표이다. 다시말해, R-square는 regression model이 관측값을 잘 설명하느냐이며, total variance와 비교하여 정량적으로 보여주는 수치이다.

Reference
- https://statisticsbyjim.com/regression/standard-error-regression-vs-r-squared/
- https://statisticsbyjim.com/regression/interpret-r-squared-regression/
- http://users.wfu.edu/cottrell/ecn215/regress_print.pdf
- https://statisticsbyjim.com/regression/interpret-r-squared-regression/
'Statistics' 카테고리의 다른 글
| Adjusted R-square (0) | 2020.05.28 |
|---|---|
| Prediction Interval (0) | 2020.05.28 |
| Effect (0) | 2020.05.26 |
| Confidence Interval (0) | 2020.05.25 |
| Goodness-of-fit test (0) | 2020.05.19 |
댓글