

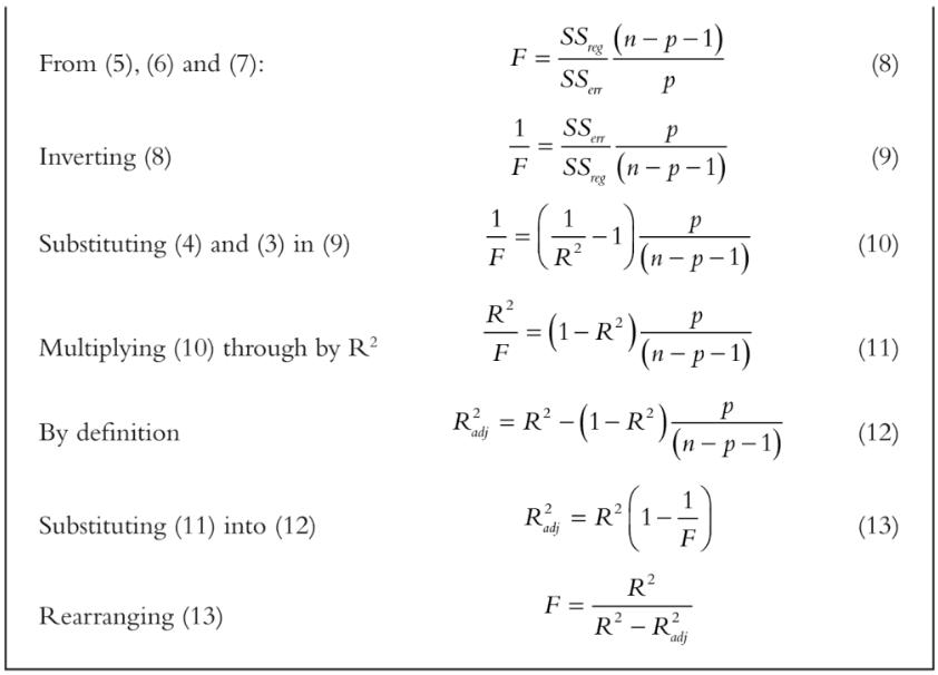
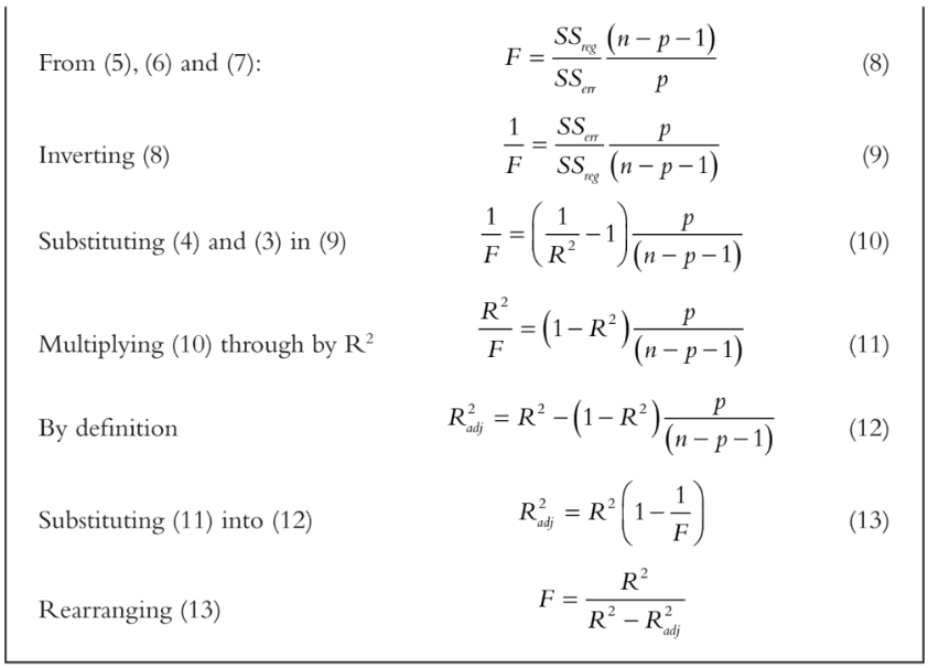
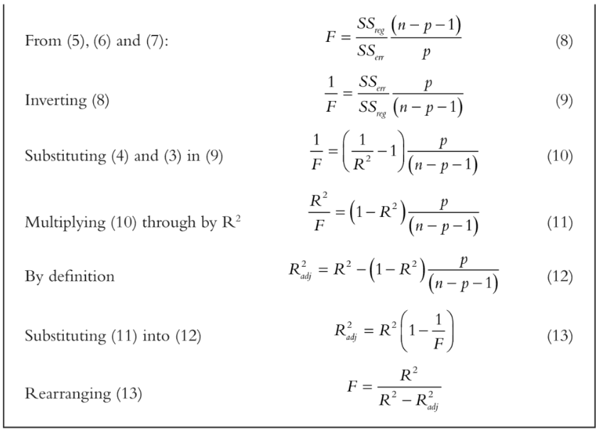
Reference
- Best Fit Lines & Curves: And Some Mathe-Magical Transformations
'Statistics' 카테고리의 다른 글
| Linear vs Nonlinear Model (0) | 2020.06.24 |
|---|---|
| Predicted R-square (0) | 2020.05.29 |
| Adjusted R-square (0) | 2020.05.28 |
| Prediction Interval (0) | 2020.05.28 |
| Standard error of estimate and R-square (0) | 2020.05.28 |
댓글